According to Mrs. Kirch, the definition of a parabola is a set of all points that are equidistant from a point (focus) and a line (directrix). The definition can best be explained/viewed from an image used in this page linked here.
2. Properties:
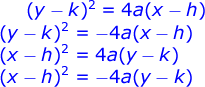
| (encrypted-tbn2.gstatic.com) |
| (encrypted-tbn1.gstatic.com) |
In standard form, parabolas are written as (x-h)^2=4p(y-k) or (y-k)^2=4p(x-h) (however in the picture to the left, four ways are shown and the only difference is simply because of the negative sign) . The variables h and k is the vertex (origin) of the parabola as h represents x and k to y. (Notice how on the image to the top left, h is paired with x and k with y). Also, p has to be on the side that is NOT being squared. (The image on the left represents p with an a, which is the same thing as explained in the video from above). The number of units of p represents how far is the focus point and the directrix line of the graph. The sign of p, too, (if it is positive or negative) determines if the graph will go up or down or left or right. Meanwhile, the variable that is squared can determine the direction of the parabola: horizontal or vertical.
The image on the right is an example of a problem solving to rewrite the equation in standard form. The side being squared was found by solving-the-square and the binomial is by itself. In the example, 4 represents p (or a), and notice how it is on the other side of the squared binomial and sitting alone, undistributed to the other binomial. The video from above can help explain a bit more on rewriting to standard form.
Graphically:
| (encrypted-tbn0.gstatic.com) |
|
The variable that is squared, as mentioned before, determines the direction of the parabola. As represented on the image to the right, if x is squared then the graph will go vertically; and if y is squared, then the graph will go vertically. The sign of p determines another part of the direction: if positive, the graph will move positive units either up or right; if negative, then the graph will move negative units either down or left. The axis of symmetry is always a line that spits the parabola in half from the vertex. The directrix is a line that is perpendicular to the axis of symmetry. As shown on the image to the left, the directrix is not within the parabola, but found outside and is found by p units away from the vertex. The focus point is within the graph and is found with p units away from the vertex. The distance away from the focus to the vertex can also help determine how wide or narrow the parabola would be. If the focus is far, then the parabola would be wide; and if the focus is close, then the parabola would be narrow.
3. RWA:
| (visual.merriam-webster.com/astronomical) |
| (parkerlab.bio.uci.edu) |
In the real world, parabolas can be found within the science, astronomical department. The images above show a radio telescope which, according to Merriam Webster Dictionary, is an "instrument used to capture, concentrate and analyze radio waves emanating from a celestial body or a region of the celestial sphere." Radio waves hit the parabolic reflector (the curved, bowl-like part of the telescope) which has a parabola shape. The waves automatically hits to the center of the reflector to a secondary reflector (considered the focus) that sends the waves down to the receiver. Anywhere where a wave would hit the parabolic reflector (a position on the parabola), it will always then aim to the secondary reflector (focus) since it was structured to have the same distance.
4. Work Cited:
- Conic Parabola Video - http://youtu.be/r-KmkpxVtGg
- Standard From Equations (pic) - https://encrypted-tbn2.gstatic.com/images?q=tbn:ANd9GcRf8C72WS3K4tZSQoWR_RF9hTYjCHXWeyeweyXqYD0PtWD3Gk2uWw
- Parabola Graphs (pic) - http://img.docstoccdn.com/thumb/orig/41803311.png
- Standard Form Example (pic) - https://encrypted-tbn1.gstatic.com/images?q=tbn:ANd9GcQKIXbJTTqeqSGF8weMMOnzNdoSH7DA-jc1CG6zvl7_tQWSdcov
- Parabola Parts w/ graph (pic)- https://encrypted-tbn0.gstatic.com/images?q=tbn:ANd9GcQYmQdKDw1dEQKMsjpDpEbOr84_BF6-hOHW9Y_bP83bhlhapZIm
- Merriam Webster parabolic reflector (pic) - http://visual.merriam-webster.com/astronomy/astronomical-observation/radio-telescope.php
- Radio telescope (pic) - http://parkerlab.bio.uci.edu/nonscientific_adventures/otherplacesinCA.htm
No comments:
Post a Comment